With your randomly assigned partner, please go to the designated whiteboard, and discuss this problem!
NOTE
Use these rules (or protocol) for your discussion:
- Only one person may have a marker within a group of two.
- The person who is holding a marker cannot talk.
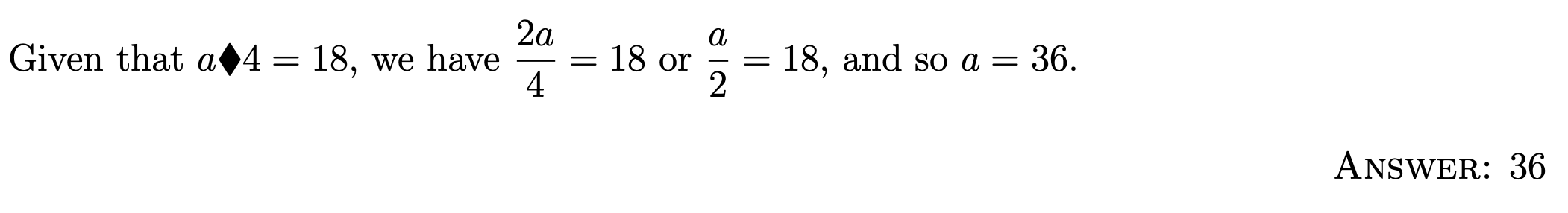
Here is the problem:

SOLUTION
Here is one explanation of the solution:
How could you improve on the explanation of this solution so that the result is even clearer to another student?
TIP
You just completed the second question of the 2023 edition of the Canadian Intermediate Mathematics Contest. If you didn’t sign up in the last class, but think you’d like to try writing this contest, speak to Mr. Gordon. A few extra spots are available.
